
166
تعداد اعداد گویا بیشتره یا اعداد گنگ
ممکنه شنیده باشین که ریاضیات پایه و مادر همه علمهاست. اگه به اطراف و طبیعت نگاه کنین، میبینین که قوانین ریاضی به شکلهای مختلفی حضور دارن و وقتی کنار هم قرار میگیرن، نظم شگفتانگیزی در دنیای ما خلق میکنن.
پایه و اساس این علم گسترده، اعداده. توی ریاضیات، ما دائم با اعداد و روابط متنوعشون سروکار داریم. این اعداد رو به چند گروه تقسیم میکنیم، مثل اعداد طبیعی، اعداد گنگ، اعداد جبری و سایر گروهها.
بیشتر دانشآموزها دوست دارن با یاد گرفتن چند تکنیک خاص، ریاضیاتشون رو قوی کرده و بتونن این درس رو به شکل واقعی و مفهومی درک کنن. در این مقاله میخوایم اعداد گویا و اعداد گنگ رو بررسی کنیم و به این سوال پاسخ بدیم که تعداد اعداد گویا بیشتره یا اعداد گنگ.
البته اگه درگیر روزمرگیهاتون هستین و فرصت نمیکنین این مقاله رو به طور کامل بخونین، پادکست زیر رو گوش کنین و همراه رادیو پادکست پرش باشین❤🎧🔊
اعداد گویا و اعداد گنگ
هدف ما در این مقاله اینه که بهطور کامل بررسی کنیم اعداد صحیح، طبیعی و گویا چه اعدادی هستن و ببینیم تعداد اعداد گویا بیشتره یا اعداد گنگ. همونطور که گفتیم، در طول تاریخ، اعداد به گروههای مختلفی تقسیم شدن تا یادگیریشون سادهتر بشه. این دستهها شامل اعداد حقیقی، اعداد موهومی، اعداد گنگ و کلی گروه دیگه هستن که دنیای اعداد رو تشکیل میدن.

اعداد گنگ و گویا که قراره توی این مقاله بررسی بشن، جزو اعداد حقیقی حساب میشن. البته اعداد حقیقی خودشون شامل اعداد صحیح و طبیعی هم هستن، اما از اونجایی که این دو گروه هم در دسته اعداد گویا قرار میگیرن، معمولا اعداد حقیقی رو بهعنوان ترکیبی از اعداد گویا و گنگ میشناسن.
اعداد گویا چیست؟
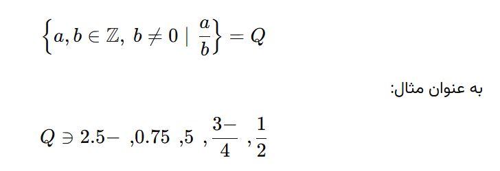
در ریاضیات، اعداد گویا به اعدادی گفته میشه که میتونن به شکل کسری از دو عدد صحیح نوشته بشن. برای مثال، اگه عدد A و عدد B دو عدد صحیح باشن، کسری که با این دو ساخته میشه، جزو اعداد گویاست.
البته لازمه بدونیم که صفر نمیتونه به عنوان مخرج در این کسر استفاده بشه. با در نظر گرفتن این تعریف، تمام اعداد صحیح، حسابی و طبیعی هم جزو اعداد گویا حساب میشن.

نماد مجموعه اعداد گویا، حرف انگلیسی Q هست که از کلمه ایتالیایی Quoziente به معنی «خارج قسمت» گرفته شده. این نماد توسط جوزپه پئانو، ریاضیدان ایتالیایی، انتخاب شده.
با توجه به توضیحات بالا، اگه بخوایم مجموعه اعداد گویا رو به زبان ریاضی بیان کنیم به شکل زیر میشه:

شاید براتون جالب باشه که بدونین بین دو عدد گویا، بینهایت عدد گویای دیگه وجود داره. این اعداد از منفی بینهایت تا مثبت بینهایت وجود دارن و جزو مجموعههای نامتناهی محسوب میشن.
اعداد گویا و اعمال اصلی ریاضی
چهار عمل اصلی ریاضی (جمع، تفریق، ضرب و تقسیم)، مهمترین و پایهایترین عملها در این علم هستن. به کمک این عملها میتونیم انواع اعداد (مثل اعداد گویا) و مسئلههای مختلف رو حل کنین. یاد گرفتن درست چهار عمل اصلی ریاضی باعث میشه که شیوه حل مسائل پیچیده این درس مثل معادلات، کسرها و نسبتها راحتتر بشه و احتمال جواب اشتباه رو به حداقل برسونین. در واقع میشه گفت که تسلط روی اعمال اصلی ریاضی، میتونه پایه محکمی برای ادامه یادگیری مباحث پیچیدهتر ریاضی باشه.

برای جمع، تفریق، ضرب و تقسیم اعداد گویا، باید چند تا فرمول مهم رو یاد بگیرین. در ادامه این قسمت قصد داریم فرمولهای هر کدوم از اعمال اصلی ریاضی رو بهتون توضیح بدیم تا بتونین مسائل ریاضی رو خیلی سریع و با آرامش انجام بدین.
جمع و تفریق
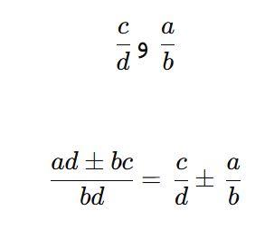
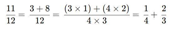
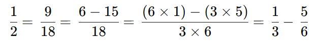
برای جمع و تفریق اعداد گویا، لازمه مخرج مشترک پیدا کنیم. به این صورت که مخرج کسر نهایی برابر حاصلضرب مخرجهاست و صورت هر کسر در مخرج کسر دیگه ضرب میشه.

مثال:


ضرب
ضرب اعداد گویا خیلی سادهست. صورتها در هم و مخرجها در هم ضرب میشن.

مثال:

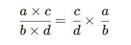
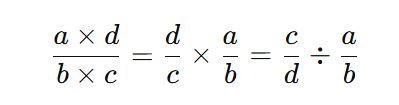
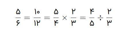
تقسیم
تقسیم اعداد گویا هم فرمول سادهای داره. برای تقسیم این اعداد باید عدد اول، در معکوس عدد دوم ضرب بشه.

مثال:

اعداد گنگ چیست؟
توی علم ریاضیات، به تمام اعداد حقیقی که جزو اعداد گویا نباشن، اعداد گنگ گفته میشه. اعداد گنگ رو برعکس اعداد گویا، نمیشه به صورت کسر دو عدد صحیح نوشت.

اعداد گنگ از منفی بینهایت تا مثبت بینهایت گسترده هستن و مثل اعداد گویا، یک مجموعه نامتناهی به حساب میان. وقتی این اعداد رو به صورت اعشاری نمایش میدیم، ارقامشون تا بینهایت ادامه پیدا میکنه، بدون اینکه هیچ رقمی تکرار بشه.
طبق منابع، کشف اعداد گنگ به هیپاسوس نسبت داده شده. این ریاضیدان یونانی که در قرن پنجم قبل از میلاد زندگی میکرد، متوجه شد که اگه یک مثلث قائمالزاویه با دو ضلع به طول 1 داشته باشیم، طول وتر اون یک عدد گنگ خواهد بود.
کشفی که منجر به مرگ اون شده!
اون عضو گروهی به اسم فیثاغورثیان بود که باور داشتن جهان از اعداد صحیح تشکیل شده و از کشف اعداد گنگ ترسیده بودن. به همین خاطر هیپاسوس رو به دریا انداختن و اون رو به قتل رسوندن.
ویژگیهای اعداد گنگ
- اگه یک عدد گنگ رو با یک عدد گویا جمع کنیم، عددی که به دست میاد گنگه. البته چیز دور از ذهنی نیست و بدیهیه.
- ضرب یک عدد گنگ با یک عدد گویا هم به نتیجه بالا میرسه. یعنی عدد به دست اومده یک عدد گنگه.
- این اعداد در حالت اعشاری تکرار ناپذیر هستن. یعنی رقمهای بعد اعشار اونها، الگوی خاصی نداره و تکرار یک رقم کاملا به صورت تصادفی اتفاق میفته.
اعداد گنگ معروف
بعضی از اعدادِ گنگ هستن که به خاطر داستان پشتشون و یا کاربرد مهم اونها توی ریاضیات، نسبت به بقیه این اعداد معروفتر هستن. در ادامه چند مورد از این اعداد رو معرفی کردیم.
جذر عدد 2
این عدد که به زبان ریاضی به شکل 2√ نوشته میشه، به خاطر سرنوشت کاشف اون، یا همون هیپاسوس، یکی از معروفترین اعداد گنگ محسوب میشه.
به جذر عدد دو، ثابت فیثاغورس هم میگن که برابر 1٫4142135623 است. البته این عدد تا بینهایت ادامه داره و ما فقط به اندازه 10 رقم رو براتون نوشتیم.
عدد پی
از تقسیم محیط دایره به قطر اون، عدد پی به دست میاد که با π نمایش داده میشه. این عدد با ابر کامپیوترها تا تقریبا 60 تریلیون رقم کشف شده که اگه بخوایم به صورت ده رقم اعشار نشونش بدیم، میشه 3/1415926535 که تا بینهایت ادامه داره.

شاید براتون جالب باشه که حفظ کردن عدد پی تا رقمهای زیاد، در گینس یک رکورد محسوب میشه! این رکورد هم دست شخصی به اسم هاراگوشی هست که این عدد رو تا 83500 رقم حفظ کرده!!
عدد فی
این عدد که ریشهش به یونان باستان برمیگرده، با نام نسبت طلایی هم شناخته میشه. عدد فی در طبیعت به وفور دیده میشه و توی پدیدههایی با شکل مارپیچ میتونیم پیداش کنیم؛ مثل گردابها، کهکشان راه شیری، لاک حلزونها، صدفها و موارد مشابه.

مقدار این عدد برابر با 6180339887/1 هست که تا بینهایت ادامه داره. فی مخفف فیبوناچیه که یکی از ریاضیدانان مطرح جهان بوده.
عدد e یا نِپِر
عدد نپر هم یکی از مهمترین اعداد گنگ در دنیای ریاضیات به حساب میاد. این عدد توسط لئونارد اویلر، ریاضیدان سوئیسی، کشف شد. مقدار عدد نپر برابر با 2.7182818284 هست و مثل دیگه اعداد گنگ، ارقامش تا بینهایت ادامه پیدا میکنه.
اعداد گویا بیشتره یا اعداد گنگ
بعد از آشنایی با اعداد گویا و گنگ، حالا وقتشه که به سوال اصلی مقاله جواب بدیم: تعداد اعداد گویا بیشتره یا اعداد گنگ؟ این موضوع رو میتونیم به دو روش بررسی کنیم که در ادامه براتون توضیح دادیم. البته راههای دیگهای هم وجود داره و هر کس میتونه با خلاقیت و ابتکار خودش روشهای جدیدی پیدا کنه.
برای پاسخ به این سوال، ابتدا باید مفهوم «بیشتر بودن» در ریاضیات رو دقیق در نظر بگیریم. وقتی میگیم یک مجموعه «بیشتر» از مجموعهی دیگهست، منظورمون اندازه یا کثرت اعضای اون مجموعهست. اعداد گویا، همونطور که میدونیم، شامل کسریها و اعداد صحیح هستن و میتونیم اونها رو به شکل نسبت دو عدد صحیح بنویسیم. در نگاه اول، ممکنه تصور کنیم چون میتونیم هر دو عدد صحیح رو با هم ترکیب کنیم، پس تعداد اعداد گویا خیلی زیاد و بیشتر از اعداد گنگه.
اما وقتی از نگاه نظریه اعداد و مفهوم «بینهایت» به موضوع نگاه کنیم، اوضاع فرق میکنه. اعداد گنگ مثل جذر 2 یا π نمیتونن به شکل نسبت دو عدد صحیح بیان بشن و تعدادشون بینهایت و حتی از اعداد گویا بیشتره؛ یعنی اعداد گنگ «چگالی» بیشتری در خط اعداد دارن و بین هر دو عدد گویا، همیشه اعداد گنگ زیادی وجود داره. بنابراین با این نگاه، اعداد گنگ به مراتب بیشتر از اعداد گویا هستن، حتی اگر اعداد گویا هم بینهایت باشن.
جمعبندی
در این مقاله، سعی کردیم شما رو با اعداد گویا و اعداد صحیح آشنا کنیم و به این سوال پاسخ بدیم که تعداد اعداد گویا بیشتره یا اعداد گنگ. ریاضیات علم خیلی بزرگیه و هر چقدر که ازش یاد بگیرین، باز هم بینهایت مطلب هست که میتونین دنبال کنین و به علم خودتون روز به روز اضافه کنین.
به هر میزان که بتونین اطلاعات بیشتری کسب کنین، میتونین به خیلی از سوالات مثل اینکه تعداد اعداد گویا بیشتره یا اعداد گنگ یا سایر سوالات جواب بدین.
به همین خاطر، اگه قصد این رو دارین که توانایی خودتون رو توی این علم زیاد کنین، بهتون پیشنهاد میکنیم که حتماً از بسته معلم خصوصی پرش استفاده کنین تا این دانش رو فراتر از کتابهای درسی خودتون یاد بگیرین و مهارت خودتون رو بالا ببرین.
سوالات پرتکرار
به اعدادی که بتونین به شکل کسری بنویسین که صورت و مخرجشون جزو اعداد صحیح باشه، اعداد گویا گفته میشه.
اگه بخواین در امتحان ریاضی نمره بالا بگیرین، باید بدونین فقط خوندن کتاب کافی نیست؛ این درس از اون درسهاییه که یادگیریش فقط با تمرین ریاضی برای امتحان اتفاق میفته. هر چقدر بیشتر سوال حل کنین، ذهنتون...

اگه تا حالا فکر میکردین فیزیک یک موضوع پیچیده و سختیه که فقط برای نخبههاست، وقتشه این دیدگاه رو کنار بذارین. واقعیت اینه که هرکسی میتونه فیزیک رو یاد بگیره، فقط باید بدونین از کجا شروع کرده و مسیر...

خیلی وقتها پیش میاد که بچهها توی نوشتن کلمات اشتباه میکنن و همین موضوع باعث نگرانی شما والدین میشه. قطعا دوست دارین که فرزندتون توی درس املا قوی باشه و اعتماد به نفسش بالا بره. برای همین لازمه با...

وقتی بحث خوندن ریاضی میاد وسط، مخصوصا برای پایه هشتم، خیلیها نمیدونن از کجا باید شروع کنن. باید بگیم که اگه روش مطالعه ریاضی هشتم رو بلد نباشین، حتی سادهترین فرمولها و تمرینها هم براتون تبدیل به...

تا حالا شده آخر شب به ساعت نگاه کنین و از خودتون بپرسین که اینهمه زمان چطوری گذشت؟ اگه دانشآموز باشین، احتمالا بیشتر از بقیه این حس رو تجربه کردین. بین مدرسه، کلاسهای خصوصی، تکالیف و امتحانها،...



در پاسخ به undefinedسلام نتیجه نهایی پادکست شما با متن ارائه شده در مقاله بالا متناقض است
در پاسخ به @user 100058306ممنون از توجه شما اصلاح شد.🙏